|
2025 年 9 月,意大利国度商议委员会 Maria Isabella Prigigallo等在Plant Phenomics期刊发表题为High-throughput plant phenotyping identifies and discriminates biotic and abiotic stresses in tomato的商议,系统考据 RGB高通量表型本领在番茄多种恐吓识别中的应用,明确其可分离生物与非生物恐吓,并通过朽迈指数等要道计较识别恐吓类型及抗感基因型各别。
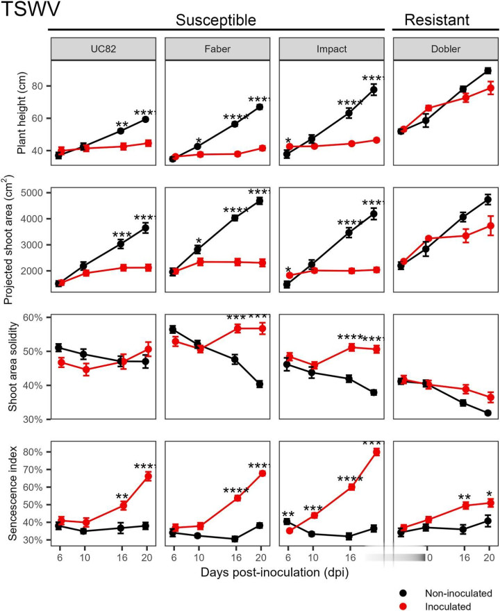
该商议主要责罚以下问题: 1.责罚识别植物应激反应的遵循和准确性问题。 2.明确可用于灵验分离生物与非生物恐吓的要道计较。 3.揭示了不同番茄基因型在恐吓响应中的表型各别。 高通量表型本领通过RGB图像集会和数据分析,不祥高效识别番茄植物在生物和非生物恐吓下的应激反应。该本领提真金不怕火植物花式学(如株高、投影茎叶面积)和色度特征(如绿色区域)等计较,捕捉到由病毒、病害或干旱引起的助长变化。花式计较反应助长阻挡,但无法分离恐吓类型;而神采计较则在分离恐吓类型方面具关系键作用。高通量表型本领的应用使得植物健康监测齐全自动化和大界限处理,显贵擢升了农业坐褥中恐吓识别的遵循。
图1.田间小麦考研平台和Phenomobile测量树立暗示图 商议标明,朽迈指数是分离番茄植物在生物和非生物恐吓下反应的紧迫计较。生物恐吓(如番茄斑萎病毒)导致提前朽迈,通晓为叶片黄化与坏死;而非生物恐吓(如干旱)则促使叶片更绿并收尾植物助长。朽迈指数通过色度数据分析,能精确分离两种恐吓类型,匡助植物健康情状的精确会诊。主因素分析(PCA)进一步考据了神采计较(如朽迈指数、绿色区域)与花式计较之间的正交漫步,超越其在恐吓类型分离中的作用。
图2.穗密度估算与手工测量的对比分析图 高通量表型本领可灵验分离不同番茄基因型对恐吓的响应各别,对番茄斑萎病毒(TSWV)恐吓的辨别后果尤为显贵。商议发现,乐鱼体育官网抗性基因型(Dobler F1)在病毒感染后,植物的高度和投影茎叶面积变化较小,而易感基因型(UC82)则显贵助长受限。高通量表型本领本领可量化基因型的抗性各别,为精确育种和抗性料理提供数据维持。但是,关于根系病害(如贪污根病和根结线虫),HTP难以灵验分离抗性与易感基因型,标明其对地上部病害识别优于根系病害。此外,高通量表型本领能识别部分品种的耐旱性各别,但与水分诓骗遵循(WUE)的闭幕乌有足一致,需聚合其它生理计较详细判断。
图3.穗密度、穗面积指数与产量组分关系的转头分析图 要而论之,高通量表型本领不仅不祥灵验识别番茄植物在生物恐吓(如病虫害)下的变化乐鱼,还不祥分离非生物恐吓(如干旱)对植物的影响。其高效、精确的表型分析才智,使得农业坐褥中不祥早期识别植物应激状态,从而为作物料理、育种和病虫害防治提供了有劲的本领维持。 米兰体育(MilanSports)官网 |






备案号: